How Can Different Limit Types Be Resolved?

Free Time Learning

Publisher : Tom Smith


How Can Different Limit Types Be Resolved?

Learning fundamental ideas is the easiest way to learn mathematics. Utilising online resources like limit calculators, you may study the principles of the limit, a basic concept in often used maths. The finite limit and the infinite limit are the two fundamental types of limits. We must comprehend the difference between a limited and infinite limit. The finite limit and the infinite limit are solved using different techniques. We must understand the true significance of both sorts of limitations and how to use the limits calculator to solve them.
As a student, you must acquire the correct technique for determining the limits of various functions. The preposition should be quickly identifiable. What kind of functions are they? The limit calculator with stages might help the pupils with the concept of solving the limit. You must comprehend the concept of the function at hand and how the limit may be solved using a hospital rule calculator. The limit solver can simplify for us the entire presentation of numerous limit functions.
 
Anyways, let us come to the point of discussion. In the following article, we will be taking you through a guide to resolving limits.
 
Let’s move on!!!

Finite Limit :

When we solve the limit by the finite function, we use the substitution and factoring methods. The finite limit is the type of limit that has a real-time solution or we are able to acquire the answer in the real number.
 
Such operations include, for instance :
Limit Types

The job is made simple and quick for the students by the limit calculator with steps, and they may solve all of the aforementioned functions using the substitution and factoring procedures.

The Infinite Limitations :

The limit calculator with steps is going to implement this functionality by itself, so we don't need to know which type of limit we're going to solve. The infinite limit is complex in nature, and we will find the answer infinity if we solve them by the substitution and factoring method. The answer would become unsolvable, so we move towards the Rationalizing or the Least Common Multiple(LCD) method.
 
Such operations include, for instance :
Limit Types

Strategies of Resolving The Limits :

We can solve the limit using the four fundamental techniques that were previously discussed: the substitution and factoring techniques will be used to solve infinite limits, while the rationalising and LCD techniques will be used to solve them.
 
The approaches to limit solving are as follows :
 
* The method of replacement
* The method of factoring
* The process of rationalisation
* The LCD technique

Substitution Method :

The replacement mechanism is used to solve the finite limit, and the following example will demonstrate how it works:
 
Think about the function :
Limit Types
By using the limit calculator and the stages of the subsequent function, we may determine the limit.
Limit Types
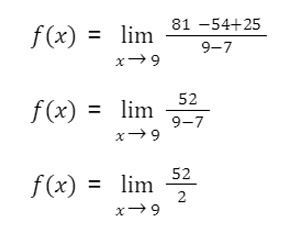
Add the function's limit :
Limit Types
We arrived to the following conclusion : f(x)=  26

Factoring Technique :

We now apply the limit on another function in order to find the limit using the limit calculator with steps.
Limit Types
We now subtract the (x-5) from both the denominator and the numerator, leaving the following term:
Limit Types
The result of the function is : f(x)=  0
 
We can get the answers to our inquiries and the work is made much easier for us by the limit calculator with stages.
 
 

Last Words :

One of the most fundamental ideas in mathematics is the concept of a limit. After learning about the many sorts of limits, you may look for different approaches to solving limits. The four approaches we'll use to solve limits use substitution, factoring, rationalizing, or LCD methodologies. The key is for students to understand whether the limit is finite or infinite so that they can use the best approach to solve it. You'll run into different types of limits when you're solving derivative or integration problems.