ECE : Signals and Systems MCQs with Answers

A)  the output at the present depends on the input at the current time
B)  the output at the present depends on the input at an earlier time
C)  the output at the present does not depend on the factor of time at all
D)  the output at the present depends on the input at a time instant in the future

Correct Answer :   the output at the present depends on the input at a time instant in the future


Explanation : A non causal system’s output is said to depend on the input at a time in the future.

A)  causal
B)  non causal
C)  memoryless
D)  neither causal nor non causal

Correct Answer :   causal


Explanation : All real time systems are causal, since they cannot have perception of the future, and only depend on their memory.

A)  analog
B)  discrete
C)  digital
D)  continuous

Correct Answer :   discrete


Explanation : Discrete systems have their input and output values restricted to enter some quantised/discretized levels.

A)  y(n) = x(n)
B)  y(n) + y(n - 1)
C)  y(n) + y(n - 1) + y(n + 1)
D)  y(n) + y(n - 1) + y(n + 3) = 0

Correct Answer :   y(n) + y(n - 1) + y(n + 1)


Explanation : Because present output of y(n) depend upon past y(n - 1) and future y(n + 1).

A)  10
B)  20
C)  50
D)  100

Correct Answer :   100


Explanation :

Energy density spectrum = |G(f)|2 = |10|2 = 100.

6 .
A voltage V(t) is a Gaussian ergodic random process with a mean of zero and a variance of 4 volt2. If it is measured by a dc meter. The reading will be
A)  
B)  2
B)  
C)  4
C)  
D)  √2
D)  

Correct Answer :   0

7 .
A first order system will never be able to give a __________ response

1. band stop
2. band pass
3. all pass

Choose the correct option
A)  1, 2, 3 true
A)  
B)  1, 2 are true 3 is false
B)  
C)  1 and 3 true, 2 false
C)  
D)  1, 2 are false, 3 is true
D)  

Correct Answer :   1, 2 are true 3 is false


Explaination : Because to design band pass or band stop, transfer function of must be second order.

8 .
The z-transform of a particular signal is given



The system after implementation will be
A)  casual and stable
A)  
B)  casual and unstable
B)  
C)  non-casual and stable
C)  
D)  non-casual and unstable
D)  

Correct Answer :   casual and stable


Explaination :

Include unity circle and exterior of circle hence x(z) will be stable, causal.

9 .
If transfer function of a system is H(z) = 6 + z-1 + z-2 then system is
A)  mixed phase
A)  
B)  maximum phase
B)  
C)  minimun phase
C)  
D)  None of the above
D)  

Correct Answer :   minimun phase


Explaination :

H(z) = 6 + z-1 - z-2, solve it by considering H(z) = 0 z = 1/3, -1/2 in H(z) only numerator.

Hence z = 1/3, - 1/2 will be zero, and if zero lies inside the unit circle, system will be of minimum phase.

A)  digital
B)  analog
C)  discrete
D)  continuous

Correct Answer :   continuous


Explanation : Continuous systems have a restriction on the basis of the upper bound and lower bound, but within this set, the input and output can assume any value. Thus, there are infinite values attainable in this system

A)  universe time scale
B)  data on a CD
C)  the trajectory of the Sun
D)  movement of water through a pipe

Correct Answer :   data on a CD


Explanation : The rest of the parameters are continuous in nature. Data is stored in the form of discretized bits on CDs.

A)  increases with a delay in input
B)  vanishes with a delay in input
C)  decreases with a delay in input
D)  remains same with a delay in input

Correct Answer :   remains same with a delay in input


Explanation : A time invariant system’s output should be directly related to the time of the output. There should be no scaling, i.e. y(t) = f(x(t)).

A)  1-exp(-t)
B)  cos(t)
C)  log(tan(t))
D)  1-exp(sin(t))

Correct Answer :   1-exp(-t)


Explanation : All of the other functions have a periodic element in them, which means the function attains the same value after a period of time, which should not occur for a monotonic function.

A)  x(t) = sin(t)
B)  x(t) = t³ – 2t
C)  x(t) = sin²2(t) + cos²2(t) – 2t
D)  x(t) = log(cos(t))

Correct Answer :   x(t) = sin²2(t) + cos²2(t) – 2t


Explanation : reduces to 1 – 2t, which is a strictly decreasing function.

A)  1.40
B)  1.45
C)  1.50
D)  1.55

Correct Answer :   1.50


Explanation : Differentiate the function for an optima, put it to zero, we will obtain t = 1.5 as the required instant.

A)  c, b
B)  a, a-b
C)  b, a-b
D)  c, c-a

Correct Answer :   a, a-b


Explanation : Put the limits as t tends to infinity and as t tends to zero.

A)  0.04s
B)  0.08s
C)  0.12s
D)  0.16s

Correct Answer :   0.04s


Explanation : Time period = 2*pi/(50)pi = 1/25 = 0.04s

A)  y[n] = x2[n]
B)  y[n] = x[n] x x[n - 1]
C)  Both (A) and (B)
D)  y[n] = x[n] + x[n - 10]

Correct Answer :   y[n] = x[n] + x[n - 10]


Explanation :

For linearity

y1[n] = x1[n] + x2[n - 10] ...(1)

y2 = x2[n] + x2[n - 10] ...(2)

y1[n] = x1[n] + x2[n] + x2[n - 10] + x2[n - 10] ...(3)

Now find y1[n] + y2[n]

Corresponding to x1[n] + x2[n]

It is same as equation (3) hence linear.

But in part (c) y[n] = x2[n]

y1[n] = x21[n], y2[n] = x22[n]⇒ y1[n] + y2[n] = x22[n]...3

But y1[n] + y2[n]

Corresponing x1[n] + x2[n] is y1[n] + y2[n] = {x1[n] + x2[n]}2

= x12[n] + x22[n] + 2x1[n] x2[n]....4

Equations (3) and (4) are not same hence not linear.

19 .
For the discrete time system of the given figure
Signals and Systems
A)  yk - 0.5 yk - 1 - 0.25 yk - 2 = uk
A)  
B)  yk + 0.5 yk - 1 - 0.25 yk - 2 = uk
B)  
C)  yk - 0.5 yk - 1 + 0.25 yk - 2 = uk
C)  
D)  yk + 0.5 yk - 1 + 0.25 yk - 2 = uk
D)  

Correct Answer :   yk - 0.5 yk - 1 + 0.25 yk - 2 = uk

20 .
The analog signal m(t) is given below m(t) = 4 cos 100 pt + 8 sin 200 pt + cos 300 pt, the Nyquist sampling rate will be
A)  1/600
A)  
B)  1/300
B)  
C)  1/200
C)  
D)  1/100
D)  

Correct Answer :   1/300


Explaination :

m (t) = 4 cos 100 pt + 8 sin 200 pt + cos 300 pt

Nyquist sampling freq fs ≤ 2fm where fm is highest frequency component in given signal and highest fm in 3rd part

2pfmt = 300 pt

fm = 150 Hz

fs = 2 x 150 p 300 Hz

21 .
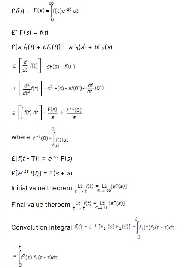
In Laplace transform, multiplication by e-at in time domain becomes
A)  translation by a in s domain
A)  
B)  translation by (-a) in s domain
B)  
C)  multiplication by e-as in s domain
C)  
D)  None of the above
D)  

Correct Answer :  

£e-at f(t) = F(s + a).

22 .
A voltage wave having 5% fifth harmonic content is applied to a series RC circuit. The percentage fifth harmonic content in the current wave will be
A)  5%
A)  
B)  more than 5%
B)  
C)  less than 5%
C)  
D)  equal or more than 5%
D)  

Correct Answer :   more than 5%


Explaination :

IC = V(jωC).

23 .
The analog signal given below is sampled by 600 samples per second for m(t) = 3 sin 500 πt + 2 sin 700 πt then folding frequency is
A)  300 Hz
A)  
B)  500 Hz
B)  
C)  700 Hz
C)  
D)  1400 Hz
D)  

Correct Answer :   300 Hz


Explaination :

A)  Single value for all instants of time
B)  Unique value for every instant of time
C)  A single pattern is followed by after ‘t’ intervals
D)  Different pattern of values is followed by after ‘t’ intervals of time

Correct Answer :   Unique value for every instant of time


Explanation : Single-valued function means “for every instant of time there exists unique value of the function”.

A)  Real
B)  Complex
C)  Imaginary
D)  Not predictable

Correct Answer :   Real


Explanation : Time is an independent variable and it is real valued irrespective of real valued or complex valued function. And time is always real.

A)  Addition
B)  Multiplying
C)  Sampling
D)  Addition and multiplication

Correct Answer :   Sampling


Explanation : Sampling is a process wherein continuous time signal is converted to its equivalent discrete time signal. It is given by t = N*t.

A)  If the equation x (t) = x (t + T) is satisfied for no values of T
B)  If the equation x (t) = x (t + T) is satisfied for all values of T
C)  If the equation x (t) = x (t + T) is satisfied for only one value of T
D)  If the equation x (t) = x (t + T) is satisfied for only odd values of T

Correct Answer :   If the equation x (t) = x (t + T) is satisfied for no values of T


Explanation : A signal x (t) is said to be non periodic signal if it does not satisfy the equation x(t) = x(t + T). And it is periodic if it satisfies the equation for all values of T = T0, 2T0, 3T0…

A)  π
B)  π/3
C)  π/6
D)  2π/8

Correct Answer :   π/3


Explanation : Omega = 2* π / N. In the given example the number of samples in one period is N = 6. By substituting the value of N =6 in the above equation then we get fundamental frequency as π/3.

A)  Omega = pi / N
B)  Omega = 2*pi*N
C)  Omega = 2*pi /N
D)  Omega = 4*pi *2N

Correct Answer :   Omega = 2*pi /N


Explanation : Fundamental frequency is the smallest value of N which satisfies the equation
Omega = 2*pi/ N, Where N is a positive integer.

A)  Periodic signal
B)  Discrete signal
C)  Deterministic signal
D)  Random signal

Correct Answer :   Random signal


Explanation : Random signal is the one which there is uncertainty before its actual occurrence. Noise is a best example for random signal.

A)  Electronic amplifier
B)  Electronic attenuator
C)  Both amplifier and attenuator
D)  Adder

Correct Answer :   Both amplifier and attenuator


Explanation : Amplitude scaling refers to multiplication of a constant with the given signal.
It is given by y (t) = a x (t). It can be both increase in amplitude or decrease in amplitude.

A)  Audio mixer
B)  Radio
C)  Subtractor
D)  Frequency divider

Correct Answer :   Audio mixer


Explanation : Audio mixer is a device which combines music and voice signals. It is given by
Y (t) = x1 (t) + x2 (t).

A)  It has no effect on samples
B)  Some samples are lost from x [n]
C)  Some samples are added to x [n]
D)  Samples will be increased with factor k

Correct Answer :   Some samples are lost from x [n]


Explanation : For discrete time signal y [n] = x [k*n] and k>1, it will be compressed signal and some samples will be lost. The samples lost will not violate the rules of sampling theorem.

A)  Shifted signal
B)  Compressed signal
C)  Expanded signal
D)  Amplitude scaled signal by a factor of 2

Correct Answer :   Compressed signal


Explanation : By comparing the given equation with y (t) = x (at) we get a=2. If a>1 then it is compressed version of x (t).

A)  Diode
B)  Inductor
C)  Resistor
D)  Capacitor

Correct Answer :   Capacitor


Explanation : Capacitor performs integration. V (t) developed across capacitor is given by
v (t) = (1/C)* ∫t-∞ i (∂).d∂, I (t) is the current flowing through a capacitor of capacitance C.

A)  y (t) = -x(t)
B)  y (t) = a x (t)
C)  y (t) = x1 (t) * x2 (t)
D)  y (t) = x1 (t) + x2 (t)

Correct Answer :   y (t) = x1 (t) * x2 (t)


Explanation : AM radio signal is an example for y (t) = x1 (t) * x2 (t) where, x1 (t) consists of an audio signal plus a dc component and x2 (t) is a sinusoidal signal called carrier wave.

37 .
In the equation x (t) = beat if a < 0, then it is called ______
A)  Growing exponential
A)  
B)  Complex exponential
B)  
C)  Decaying exponential
C)  
D)  Both Growing and Decaying exponential
D)  

Correct Answer :   Decaying exponential


Explaination : If a > 0 in x (t) = beat it is called growing exponential and if <0 it is called decaying exponential. Hence Decaying exponential is correct.

A)  T = 2π / w
B)  T = π / w
C)  T = π / 2w
D)  T = 2π / 3w

Correct Answer :   T = 2π / w


Explanation : X (t) = A cos (wt+φ) is the continuous-time sinusoidal signal and its period is given by
T = 2π / w where w is the frequency in radians per second.

A)  Non periodic
B)  Periodic with period 2
C)  Periodic with period 2n
D)  Periodic with period 2π

Correct Answer :   Non periodic


Explanation : The given signal x [n] is non periodic as it doesn’t satisfy the equation w=2πm⁄N where, N is fundamental period and m is an integer.

A)  Non periodic
B)  Periodic with fundamental period 1
C)  Periodic with fundamental period 3
D)  Periodic with fundamental period 6π

Correct Answer :   Periodic with fundamental period 1


Explanation : X [n] = 7 sin (6πn) is a periodic discrete time signal with period 1. By substituting w = 6π and m=3 in w=2πmN we get N =1.

A)  Periodic
B)  Maybe periodic
C)  Non periodic
D)  Insufficient information

Correct Answer :   Non periodic


Explanation : Exponentially damped sinusoidal signal of any kind is not periodic as it does not satisfy the periodicity condition.

42 .
uler’s identity e is expanded as _____
A)  cos θ + j sin θ
A)  
B)  cos θ – j sin θ
B)  
C)  cos θ + j sin 2θ
C)  
D)  cos⁡ 2θ+j sinθ
D)  

Correct Answer :   cos θ + j sin θ


Explaination : The complex exponential e is expanded as cos θ + j sin θ and is called Euler’s identity with cos θ as real part sin θ as imaginary part.

A)  Yes
B)  No
C)  Can Not Say
D)  None of the above

Correct Answer :   Yes


Explanation :  y[n] depends upon x[n-1], i.e at the earlier time instant, thus forcing the system to have memory.

A)  Yes
B)  No
C)  Both memoryless and having memory
D)  None of the above

Correct Answer :   No


Explanation : While evaluating the integral, it becomes imperative to know the values of x[t] from 0 to t, thus making the system requiring memory.

45 .
The signal defined by the equations f(t) = 0 for t < 0, f(t) = E for 0 ≤ ta and f(t) = 0 for t > a is
A)  a step function
A)  
B)  a pulse function
B)  
C)  a shifted step function originating at t = a
C)  
D)  None of the above
D)  

Correct Answer :   a pulse function


Explaination : It is a pulse lasting for t = a.

46 .
Two function g1(t) and g2(t) with correlation of 6 has average power of 4 and 5 respectively. The power of g1(t) + g2(t) is
A)  3
A)  
B)  9
B)  
C)  15
C)  
D)  21
D)  

Correct Answer :   21


Explaination :

Power of two correlated signal is P = P1 + P2 +2R1, 2(t).

A)  power signal
B)  energy signal
C)  insufficient data
D)  neither energy nor power signal

Correct Answer :   power signal


Explanation :

A)  odd harmonics only
B)  even harmonics only
C)  sine harmonics only
D)  cosine harmonics only

Correct Answer :   sine harmonics only


Explanation : For an odd function f(- x) = - f(x) Hence, only sine terms.

A)  pure dc
B)  pure a.c
C)  entire frequency range with constant phase
D)  infinite bandwidth with linear phase vaariations

Correct Answer :   entire frequency range with constant phase


Explanation : Because F.T. of δ(t) = 1, 1 is a Constant function ranging from -∞ to +∞.

50 .
As per time displacement theorem in Laplace transformation, displacement in the time domain by T becomes
A)  division by s in the s domain
A)  
B)  division by e-sT in the s domain
B)  
C)  multiplication by s in the s domain
C)  
D)  multiplication by e-sT in the s domain
D)  

Correct Answer :   multiplication by e-sT in the s domain


Explaination : £f(t - T) = e-st F(s).

A)  y(n) = 3x[n] - 2x[n - 1]
B)  y(n) = 3x[n] + 2x[n + 1]
C)  y(n) = 3x[n + 1] + 2x[n - 1]
D)  y(n) = 3x[n + 1] 2x[n - 1] + x[n]

Correct Answer :   y(n) = 3x[n] - 2x[n - 1]


Explanation : For causal output must depend upon Present and past not on future.

A)  a ramp
B)  a doublet
C)  an impulse
D)  a parabola

Correct Answer :   a parabola


Explanation :

53 .
The ROC of sequence x[n] = (0.8)n ∪[n] + (0.4)n ∪[n]
A)  |z| > 0.4
A)  
B)  |z| > 0.8
B)  
C)  |z| < 0.8
C)  
D)  0.4 < |z| < 0.8
D)  

Correct Answer :   |z| > 0.8


Explaination :

A)  variance
B)  expectation
C)  standard deviation
D)  chebyshev inequality

Correct Answer :   chebyshev inequality


Explanation : Because Variance, standard Deviation, Expectation are related to each other.

55 .
If Laplace transform of f(t) is F(s), then £ f(t - a) u (t - a)= 0
A)  eas F(s)
A)  
B)  e-as F(s)
B)  
C)  - eas F(s)
C)  
D)  - e -as F(s)
D)  

Correct Answer :   e-as F(s)


Explaination :




where t is dummy variable for t.

A)  dc term
B)  sine term
C)  cosine term
D)  odd harmonic terms

Correct Answer :   sine term


Explanation : An even function cannot have sine terms because for an even function f( - x) = f(x).

A)  real
B)  imaginary
C)  conjugate symmetric
D)  conjugate Unsymmetric

Correct Answer :   real


Explanation : F.T. of conjugate symmetric function is always real.

A)  y[n] = x[2n]
B)  y[n] = x[n/2]
C)  y[n] = x[n] x[n - 1]
D)  All of the above

Correct Answer :   y[n] = x[n] x[n - 1]


Explanation :

59 .
A)  alternates 0
A)  
B)  alternate 1
B)  
C)  alternate 2
C)  
D)  alternate -1s
D)  

Correct Answer :   alternates 0


Explaination : Use power series method to solve it.

60 .
The signal define by the equations u(t - a) = 0 for t < a and u(t - a) = 1 for ta is
A)  a pulse function
A)  
B)  a shifted unit step function orginating at t = a
B)  
C)  a unit step function
C)  
D)  None of the above
D)  

Correct Answer :   a unit step function


Explaination : u(t) is a unit step function u(t - a) is a unit step function shifted in time by a.

61 .
For the system in the given figure
A)   yk = uk + 0.5 yk - 2
A)  
B)   yk = uk + 0.5 uk - 2
B)  
C)   yk = uk - 0.5 yk - 2
C)  
D)   yk = uk - 0.5 uk - 2
D)  

Correct Answer :   yk = uk + 0.5 yk - 2


Explaination :

yk has two unit delays and then a multiplier of 0.5 before being fedback.

A)  y(2t) = x(t)
B)  y(t) = x(2t)
C)  y(t) = 0.5x(t)
D)  y(t) = 2x(t)

Correct Answer :   y(t) = 0.5x(t)


Explanation : Now, y(t) = 2x(t) => x(t) = 0.5*y(t)
Thus, reversing x(t) <-> y(t), we obtain the inverse system: y(t) = 0.5x(t)

A)  Causal
B)  Time varying
C)  Time invariant
D)  Non causal

Correct Answer :   Non causal


Explanation : For positive time, the system may seem to be causal. However, for negative time, the output depends on time at a positive sign, thus being in the future, enforcing non causality.

A)  Linear
B)  Non linear
C)  Not scalable
D)  Only additive

Correct Answer :   Non linear


Explanation : The function obeys the scaling/homogeneity property, but doesn’t obey the additivity property, thus not being linear.

A)  Causal
B)  Non causal
C)  Time varying
D)  Time invariant

Correct Answer :   Causal


Explanation : For positive time, the system may seem to be causal. For negative time, the output depends on the same time instant, thus making it causal.

A)  Resistor
B)  Accumulator
C)  Identity System
D)  y(n)=x(n)-2x(n)

Correct Answer :   Accumulator


Explanation : An identity system gives the output same as input hence it totally depends on the present state of the input. Therefore, it is memory less. Similarly, a resistor and the expression in option c are memory less systems as they depend upon the present state of the input. An accumulator sums up the values of all past and present states of input. Therefore, it is a system with memory.

A)  Delay
B)  Capacitor
C)  Resistor
D)  Summer

Correct Answer :   Resistor


Explanation : Options Delay, Summer and Capacitor are all systems with memory as they depend upon past, past and present, past and present values of input respectively. Whereas, a resistor is a memory less system as its relationship with output always depends upon the current or present state of the input.

A)  It satisfies only amplitude scaling
B)  It satisfies only the principle of superposition theorem
C)  It satisfies both amplitude scaling and principle of superposition theorem
D)  It satisfies amplitude scaling but not the principle of superposition theorem

Correct Answer :   It satisfies both amplitude scaling and principle of superposition theorem


Explanation : By the definition of linearity a system is said to be linear if it satisfies the condition y1(t) + y2(t) = ax1(t) + bx2(t).

A)  Linear, time variant
B)  Linear, time invariant
C)  Non-linear, time variant
D)  Non-linear, time invariant

Correct Answer :   Linear, time variant


Explanation : For input x1(t): y1 (t)= t2 x1 (t-1)
For input x2(t): y2 (t)= t2 x2 (t-1)
⇒ ay1 (t)+by2 (t)= t2 [x1 (t-1)+ bx2 (t-1)] Equation 1
For input x3(t): y3 (t)= t2 x3 (t-1) = t2 [ax1 (t-1)+ bx2 (t-1)] Equation 2
∴ The system is linear.
For time invariancy: Shift in input:
⇒y(t,T)= t2 x(t-1-T)
Shift in output: y(t- T)= (t-T)2 x(t-1-T)
∵ The shift in output is not equal to the shift in input, therefore, the system is time variant.

A)  y[n] = 0
B)  y[n] = 2x[n]
C)  y(t) = x2(t)
D)  y(t) = dx(t)/dt

Correct Answer :   y[n] = 2x[n]


Explanation : A system is said to be invertible if it’s input can be found out from its output. Implying, if a system has same outputs for several inputs then it is impossible to find the correct input as output is same for many. Therefore, a system is invertible if it gives distinct outputs to distinct inputs. It is non-invertible if it gives same outputs for many inputs.

Option a produces 0 output for any input → Non-invertible
Option b produces different outputs for different inputs and also it’s inverse system is (1/2)y[n] → Invertible
Option c, we get same output for both positive and negative values → Non-invertible
Option d, we get 0 for all constant input values → Non-invertible.

A)  parallel
B)  Series
C)  Cascaded
D)  No connection

Correct Answer :   parallel


Explanation : An inverse system when cascaded with the original system gives an output equal to the input.

A)  Causal, Linear
B)  Causal, Non-linear
C)  Non-Causal, Non-linear
D)  Non-causal, Linear

Correct Answer :   Non-causal, Linear


Explanation : The system is non-causal as it gives future values for some inputs.
E.g. y (- π) = x (sin (-π)) = x (0)
For linearity, it needs to satisfy superposition principle,
⇒ y1 (t) = x1 (sint)
⇒ y2 (t) = x2 (sint)
⇒ ay1 (t) + by2 (t) = ax1 (sint) + bx1 (sint) Equation 1
Now, y3 (t) = x3 (sint) = (ax1 + bx2)(sint) = ax1 (sint) + bx1 (sint) Equation 2
Clearly, Equation 1 and 2 are equal, hence the system is linear.

A)  Static System
B)  Causal System
C)  Non-causal System
D)  Non-anticipative System

Correct Answer :   Non-causal System


Explanation : A system which anticipates the future values of input is called a non-causal system. A causal depends only on the past and present values of input. Non-anticipative is another name for the causal system. A static system is memory less system.

A)  Causal
B)  Non-causal
C)  Causal for all positive values of n
D)  Non-causal for negative values of n

Correct Answer :   Non-causal


Explanation : The given system gives negative values of input i.e., past values of input when we feed positive integers to LHS. However, it gives positive values for negative values of n i.e., future values. Therefore, the system depends upon past values for some integers and future values for some other. A system cannot be called partially causal or non-causal, therefore, the system is non-causal.

A)  0
B)  0.5
C)  1
D)  1.5

Correct Answer :   1


Explanation : The unit impulse function has value 1 at n = 0 and zero everywhere else.

A)  pi/w
B)  2pi/w
C)  3pi/w
D)  4pi/w

Correct Answer :   2pi/w


Explanation : The function assumes the same value after t+2pi/w, hence the period would be 2pi/w.

A)  1, [-1,1], [-1,1]
B)  1, [-1,1], [-1,2]
C)  1, [-1,2], [-1,2]
D)  0.5, [-1,1], [-1,1]

Correct Answer :   1, [-1,1], [-1,1]


Explanation : The sin(t)and cos(t) can be found using Euler’s rule.

A)  1, 0, 0
B)  0, 0, 1
C)  0, 1, 2
D)  0, 0, 0

Correct Answer :   0, 0, 0


Explanation : Only one of the values can be one at a time, others will be forced to zero, due to the delta function.

A)  exp(2jt) = cos(2t) + jsin(t)
B)  exp(2jt) = cos(2t) + sin(t)
C)  exp(2jt) = cos(2t) + jsin(2t)
D)  exp(2jt) = jcos(2t) + jsin(t)

Correct Answer :   exp(2jt) = cos(2t) + jsin(2t)


Explanation : Euler rule: exp(jt) = cos(t) + jsin(t).

A)  Sinc Function
B)  Signum Function
C)  Rectangular Function
D)  Triangular Function

Correct Answer :   Rectangular Function


Explanation : Unit impulse function can be obtained by using a limiting process on the rectangular pulse function. Area under the rectangular pulse is equal to unity.

A)  σ = 0 and Ω < 0
B)  σ = 0 and Ω = 0
C)  σ < 0 and Ω = 0
D)  σ < 0 and Ω < 0

Correct Answer :   σ = 0 and Ω = 0


Explanation : A complex exponential signal is represented as x(t)= est
Where, s = σ + jΩ
⇒ x(t) = eσt [cosΩt + jsinΩt] When, σ = 0 and Ω = 0 ⇒ x(t) = e0 [cos0 + jsin0] = 1 × 1 = 1 which is pure DC.

A)  cos a + jsin a
B)  sin a + jcos a
C)  cos ja + jsin a
D)  cos j + a sin j

Correct Answer :   cos a + jsin a


Explanation : This is the corollary of DeMoivre/Euler’s Theorem.

A)  w
B)  2w
C)  1pi*w
D)  2pi*w

Correct Answer :   w


Explanation : Fundamental period = 2pi/w, hence fundamental frequency will be w.

A)  Buffered sinusoids
B)  Amplified sinusoids
C)  Neutralized sinusoids
D)  Damped sinusoids

Correct Answer :   Damped sinusoids


Explanation : The decaying exponentials dampen the amplitudes of sinusoids. Hence, the term damped sinusoids.

A)  8
B)  12
C)  18
D)  24

Correct Answer :   24


Explanation : The first signal, will repeat itself after 3 cycles. The second will repeat itself after 8 cycles. Thus, both of them together will repeat themselves only after LCM(8,3) = 24 cycles.

A)  Ω = 0 and σ > 0
B)  Ω = 0 and σ = 0
C)  Ω = 0 and σ < 0
D)  Ω ≠ 0 and σ < 0

Correct Answer :   Ω = 0 and σ < 0


Explanation : Let x(t) be the complex exponential signal
⇒ x(t) = est = e(σ+jΩ)t = eσt ejΩt
Now, when Ω = 0 ⇒ x(t) = eσt which will be an exponentially decaying signal if σ < 0

A)  σ =0 and Ω = 0
B)  σ = 0 and Ω ≠ 0
C)  σ < 0 and Ω = 0
D)  σ ≠ 0 and Ω ≠ 0

Correct Answer :   σ = 0 and Ω ≠ 0


Explanation : A signal is sinusoidal when σ = 0 and Ω ≠ 0
⇒ x(t) = est = e(σ+jΩ)t = eσt ejΩt = ejΩt = cosΩt + jsinΩt which is sinusoidal.

A)  The function is unstable
B)  The function is stable
C)  The function is marginally stable
D)  None of the mentioned

Correct Answer :   The function is unstable


Explanation : The system would be unstable, as the output will grow out of bound at the maximally worst possible case.

A)  Causal
B)  Anti Causal
C)  Non Causal
D)  None of the above

Correct Answer :   Anti Causal


Explanation : The output always depends on the input at a time in the future, rendering it anti-causal.

A)  Time variant
B)  Time invariant
C)  Both Time variant and Time invariant
D)  None of the above

Correct Answer :   Time variant


Explanation : A time shift in the input scale gives double the time shift in the output scale, and hence is time variant.

A)  Zero in Finite out
B)  Zero in infinite out
C)  Zero in zero out
D)  Zero in Negative out

Correct Answer :   Zero in zero out


Explanation : The system needs to give a zero output for a zero input so as to conserve the law of additivity, to ensure linearity.

92 .
he odd component of the signal X (t) = ejt is _____
A)  Sinh t
A)  
B)  Cosh t
B)  
C)  Cos t
C)  
D)  Sin t
D)  

Correct Answer :   Sin t


Explaination : Let Xo (t) represents the odd component of X (t)
Now, Xo (t) = 1/212[X (t) – X (-t)]
= 1/212[ejt + e-jt]
= sin t.

A)  0.4 ms
B)  0.96 ms
C)  1.4 ms
D)  Non-periodic

Correct Answer :   Non-periodic


Explanation :

A)  non-periodic throughout
B)  periodic with a definite period
C)  non- periodic over an interval
D)  periodic without a definite period

Correct Answer :   periodic with a definite period


Explanation :

A)  d[n] = u[n] – u[n-1].
B)  d[n] = u[n+1] – u[n].
C)  d[n] = u[n] – u[n-2].
D)  d[n] = u[n+1] – u[n-1].

Correct Answer :   d[n] = u[n] – u[n-1].


Explanation : Using the definition of the Heaviside function, we can come to this conclusion.

A)  Defines 1 for all t > 0, and 0 else
B)  Defines that there is a point 0 at t=0, and 1 everywhere else
C)  Defines that there is a point 1 at t=0, and zero everywhere else
D)  Defines an impulse of area 1 at t=0, zero everywhere else

Correct Answer :   Defines an impulse of area 1 at t=0, zero everywhere else


Explanation : Arises from the definition of the delta function. There is a clear difference between just the functional value and the impulse area of the delta function.

A)  the square of the system
B)  the integral of the system
C)  the system itself
D)  the derivative of the system

Correct Answer :   the system itself


Explanation : The integral reduces to the the integral calculated at a single point, determined by the centre of the delta function.

A)  x[n].
B)  x[n=90].
C)  x[n-89].
D)  x[n-91].

Correct Answer :   x[n=90].


Explanation : The function gets shifted by the center of the delta function during convolution.

A)  u(t) = d(t)
B)  d(t) = u²(t)
C)  d(t) = du/dt
D)  u(t) = d(d(t))/dt

Correct Answer :   d(t) = du/dt


Explanation : Using the definition of the Heaviside function, we can come to this conclusion.

A)  d = d²(r)/dt²
B)  r = d²(r)/dt²
C)  d = dr/dt
D)  r = dd(t)/dt

Correct Answer :   d = d²(r)/dt²


Explanation : Now, d = du/dt and u = dr/dt. Hence, we obtain the above answer.

A)  y(t) = log(x(t))
B)  y(t) = exp(x(t))
C)  y(t) = tx(t) + 1
D)  y(t) = sin(x(t))

Correct Answer :   y(t) = sin(x(t))


Explanation : Stability implies that a bounded input should give a bounded output. In a,b,d there are regions of x, for which y reaches infinity/negative infinity. Thus the sin function always stays between -1 and 1, and is hence stable.

A)  Stable
B)  Unstable
C)  Partially Stable
D)  All of the above

Correct Answer :   Unstable


Explanation : The integrator system keep accumulating values and hence may become unbounded even for a bounded input in case of an impulse.

A)  System is unstable
B)  System is stable
C)  System is marginally stable
D)  None of the above

Correct Answer :   System is unstable


Explanation : The system turns out to be unstable. Only if it is zero/finite it is stable.

A)  Yes
B)  No
C)  Can’t say
D)  None of the above

Correct Answer :   Can’t say


Explanation : If w is a complex number with Im(w) < 0, we could have an unstable situation as well. Hence, we cannot conclude [no constraints on w given].

A)  Stable
B)  Unstable
C)  Partially Stable
D)  All of the above

Correct Answer :   Unstable


Explanation : Even if we have a bounded input as n tends to inf, we will have an unbounded output. Hence, the system resolves to be an unstable one.

A)  It will be a damped system
B)  The system will be an overdamped system
C)  Purely oscillatory system
D)  The system will turn out to be critically damped

Correct Answer :   Purely oscillatory system


Explanation : The system will be a purely oscillatory system with no damping involved.

107 .
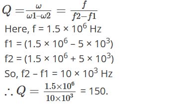
A circuit tuned to a frequency of 1.5 MHz and having an effective capacitance of 150 pF. In this circuit, the current falls to 70.7 % of its resonant value. The frequency deviates from the resonant frequency by 5 kHz. Q factor is?
A)  50
A)  
B)  100
B)  
C)  150
C)  
D)  200
D)  

Correct Answer :   150


Explaination :

108 .
A 440 V, 50 HZ AC source supplies a series LCR circuit with a capacitor and a coil. If the coil has 100 mΩ resistance and 15 mH inductance, then at a resonance frequency of 50 Hz the half power frequencies of the circuit are ____________
A)  50 HZ, 49 Hz
A)  
B)  52.12 HZ, 49.8 Hz
B)  
C)  55.02 Hz, 48.95 Hz
C)  
D)  50.53 Hz, 49.57 Hz
D)  

Correct Answer :   50.53 Hz, 49.57 Hz


Explaination :

A)  Lagging, Leading
B)  Same in both cases
C)  Independent of Frequency
D)  Leading, Lagging

Correct Answer :   Leading, Lagging


Explanation : A Leading power factor means that the current in the circuit leads the applied voltage. This condition occurs in capacitive circuits. On the other hand, a lagging power factor indicates that current lags the voltage and this condition happens in an inductive circuit.

110 .
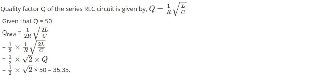
 A series RLC circuit has a resonance frequency of 1 kHz and a quality factor Q = 50. If R and L are doubled and C is kept same, the new Q of the circuit is ___________
A)  20.02
A)  
B)  25.52
B)  
C)  35.35
C)  
D)  45.45
D)  

Correct Answer :   35.35


Explaination :

A)  Bounded Input, Bounded Output
B)  Bonded Input Bonded Output
C)  Boundary Input Bounded Output
D)  Boundary input Boundary Output

Correct Answer :   Bounded Input, Bounded Output


Explanation : BIBO stands for Bounded input, Bounded Output. It gives the stability of a system through a simple explanation that a system will be stable if it’s both input and output are bounded i.e it is not infinity.

A)  Every Bounded input results in a bounded output
B)  When there is stability in the overall system
C)  When the input and output conditions are stable
D)  When the boundary conditions of the system are stable

Correct Answer :   Every Bounded input results in a bounded output


Explanation : A system is said to be stable if, for any bounded input x(t), the response y(t) is also Bounded.
i.e |x(t)|≤Bx<∞ implies |y(t)≤Bx<∞.

A)  Fourier series only
B)  Fourier series, Fourier transform, Laplace transform, Z-transform
C)  Fourier series and Laplace transform only
D)  Fourier series, Fourier transform and Laplace transform only

Correct Answer :   Fourier series, Fourier transform, Laplace transform, Z-transform


Explanation : Fourier series, Fourier transform, Laplace transform, z-transform are some tools to convert a system from a time domain to frequency domain analysis to make it simpler. In fact, the concept of frequency domain has emerged from these transformations. It was first given by Joseph Fourier.

A)  Analysis of signals in their bandwidth
B)  Analysis of signals in a frequency range
C)  Analysis of a signal with respect to its frequency
D)  Study of a system in accordance to changes in its overall frequency

Correct Answer :   Analysis of a signal with respect to its frequency


Explanation : Though this answer is a bit confusing frequency domain is defined as an analysis of a signal or a system with respect to its frequency. This concept has emerged from the transformations and the ‘spectrum’ concept.

A)  Study of a system in accordance to changes in its over time
B)  Study of a system in accordance to changes in its inputs over time
C)  Study of a system in accordance to changes in its overall structure over time
D)  Study of a system in accordance to how a system change itself overall in a time

Correct Answer :   Study of a system in accordance to how a system change itself overall in a time


Explanation : Analysis in the time domain by done in how signals behave over time. That is, a system or a signal is studied in accordance to how it changes itself overall in time.

A)  When large inputs lead to diverging outputs
B)  When small inputs lead to responses that diverge
C)  All inputs lead to outputs that converge
D)  When small inputs lead to responses that do not diverge

Correct Answer :   When small inputs lead to responses that do not diverge


Explanation : When small inputs lead to output responses that do not tend to infinity. The output of such systems does not diverge if the input does not diverge.

A)  When it is stable
B)  When it has small inputs
C)  Magnitude does not grow without bound
D)  When it gives slow responses

Correct Answer :   Magnitude does not grow without bound


Explanation : A signal x(t) is said to be bounded if its magnitude does not grow without bound.
i.e |x(t)|≤Bx<∞.

118 .
Transfer function of a linear system is 200 e-j10ω The system is a
A)  distortionless Amplifier
A)  
B)  distortionless Attenuator
B)  
C)  amplifier with Phase distortion
C)  
D)  attenuator with Phase distortion
D)  

Correct Answer :   distortionless Amplifier


Explaination :

Because H(ω) = 200 e-j10ω

And |H(ω)| = 200 with zero phase.

So it cannot be attenuator.

A)  discrete sinc function
B)  continuous sampling square function
C)  discrete sampling function
D)  continuous sampling function

Correct Answer :   continuous sampling square function


Explanation : Because F.T. of a Triangular function is square sampling function.

A)  sin 3πn
B)  sin √3πn
C)  cos √2πn
D)  All of the above

Correct Answer :   sin 3πn


Explanation :

A)  h[n].
B)  h[n-1].
C)  h[n-2].
D)  h[n+1].

Correct Answer :   h[n-1].


Explanation : Convolution of a function with a delta function shifts accordingly.

A)  (1-exp(at)) u(t)/a
B)  (1-exp(at)) u(-t)/a
C)  (1+exp(-at)) u(t)/a
D)  (1-exp(-at)) u(t)/a

Correct Answer :   (1-exp(-at)) u(t)/a


Explanation : Use the convolution formula.

A)  x(t + 22)
B)  x(t – 22)
C)  x(t + 32)
D)  x(t + 56)

Correct Answer :   x(t + 22)


Explanation : Convolution of a function with a delta function shifts accordingly.

A)  0.5exp(4t-3) u(-t+3) + 0.8u(t-3)
B)  0.33exp(2t-6) u(-t+3) + 0.5u(t-3)
C)  0.33exp(2t-6) u(-t+3) + 0.5u(t-6)
D)  0.33exp(3t-6) u(-t+3) + 0.33u(t-3)

Correct Answer :   0.33exp(3t-6) u(-t+3) + 0.33u(t-3)


Explanation : Divide it into 2 sectors and apply the convolution formula.

A)  0.5exp(2t-6) u(-t+3) + 0.5u(t-6)
B)  0.5exp(2t-3) u(-t+3) + 0.8u(t-3)
C)  0.5exp(2t-6) u(-t+3) + 0.5u(t-3)
D)  0.5exp(2t-6) u(-t+3) + 0.8u(t-3)

Correct Answer :   0.5exp(2t-6) u(-t+3) + 0.5u(t-3)


Explanation : Divide it into 2 sectors and apply the convolution formula.

A)  (1-exp(4t)) u(t)/a
B)  (1-exp(-4t)) u(t)/a
C)  (1-exp(=4t)) u(t)/a
D)  (1+exp(-4t)) u(t)/a

Correct Answer :   (1-exp(-4t)) u(t)/a


Explanation : Use the convolution formula.

A)  h[n].
B)  h[n-1].
C)  h[n+1].
D)  h[n-2].

Correct Answer :   h[n-2].


Explanation : Convolution of a function with a delta function shifts accordingly.

A)  Commutativity rule
B)  Transitive rule
C)  Distributive rule
D)  Associativity rule

Correct Answer :   Commutativity rule


Explanation : By definition, the commutative rule h*x=x*h.

A)  Yes
B)  No
C)  Marginally Stable
D)  None of the above

Correct Answer :   Marginally Stable


Explanation : The system corresponds to an oscillatory system, this resolving to a marginally stable system.

A)  Transitive rule
B)  Distributive rule
C)  Associativity rule
D)  Commutativity rule

Correct Answer :   Associativity rule


Explanation : By definition, the associativity rule = h*(x*c) = (h*x)*c.

A)  h*c + h*b
B)  h*c*b + b
C)  h*c*b + h
D)  h*c*b + h*c

Correct Answer :   h*c*b + h*c


Explanation : Apply commutative and associative rules

A)  Zero
B)  Finite
C)  Infinity
D)  Integral multiple of 2pi

Correct Answer :   Finite


Explanation : If the square sum is infinite, the system is an unstable system. If it is zero, it means h(t) = 0 for all t. However, this cannot be possible. Thus, it has to be finite.

A)  x[n] * h[n]
B)  x[n] – h[n]
C)  x[n] + h[n]
D)  None of the above

Correct Answer :   x[n] * h[n]


Explanation : Discrete time convolution is represented by x[n]*h[n]. Here x[n] is the input and h[n] is the impulse response.

134 .
What is the associative property of discrete time convolution?
A)  [x1(n) * x2(n)]*h(n) = x1(n)* [x2(n)*h(n)]
A)  
B)  [x1(n) * x2(n)]+h(n) = x1(n) + [x2(n)*h(n)]
B)  
C)  [x1(n) + x2(n)]*h(n) = x1(n)* [x2(n)+h(n)]
C)  
D)  [x1(n) * x2(n)]h(n) = x1(n) [x2(n)*h(n)]
D)  

Correct Answer :   [x1(n) * x2(n)]*h(n) = x1(n)* [x2(n)*h(n)]


Explaination : [x1(n)* x2(n)]*h(n)= x1(n)* [x2(n)*h(n)], x1(n) and x2(n) are inputs and h(n) is the impulse response.
This can be proved by considering two x1(n)* x2(n) as one output and then using the commutative property proof.

A)  x(n)h(n)=h(n)x(n)
B)  x(n)*h(n)=h(n)*x(n)
C)  x(n)+h(n)=h(n)+x(n)
D)  x(n)**h(n)=h(n)**x(n)

Correct Answer :   x(n)*h(n)=h(n)*x(n)


Explanation : The commutative property is x(n)*h(n)=h(n)*x(n), where x(n) is the input and h(n) is the impulse response of the ∂(n) input of an LTI system.
∑x[k]h[n-k], when we change the variables to n-k to k-n makes it equal to LHS and RHS.

A)  Impulse
B)  A new signal
C)  Signal itself
D)  Signal multiplied by impulse

Correct Answer :   Signal itself


Explanation : The convolution of a signal x(n) with a unit impulse function ∂(n) results in the signal x(n) itself:
x(n)* ∂(n)=x(n).

A)  Associative
B)  Distributive and associative
C)  Commutative and distributive
D)  Associative, commutative, distributive

Correct Answer :   Associative, commutative, distributive


Explanation : The properties which are followed by a discrete time convolution are same as continuous time convolution. These are – associative, commutative, distributive property.

A)  Scaling, multiplication and addition in order
B)  Scaling, shifting, multiplication, and addition in order
C)  Plotting, shifting, folding, multiplication, and addition in order
D)  Scaling, plotting, shifting, multiplication and addition in order

Correct Answer :   Plotting, shifting, folding, multiplication, and addition in order


Explanation : The tools used in a graphical method of finding convolution of discrete time signals are basically plotting, shifting, folding, multiplication and addition. These are taken in the order in the graphs. Both the signals are plotted, one of them is shifted, folded and both are again multiplied and added.

A)  y[n] = ∑x[k]h[k], k from 0 to ∞
B)  y[n] = ∑x[k]h[n-k], k from 0 to ∞
C)  y[n] = ∑x[k]h[n-k], k from -∞ to +∞
D)  y[n] = ∑x[k]h[n], k from -∞ to +∞

Correct Answer :   y[n] = ∑x[k]h[n-k], k from -∞ to +∞


Explanation : y[n]=∑x[k]h[n-k], k from -∞ to +∞
Is the correct equation, where x[n] is the input and h[n] is the impulse response of the ∂[n] input of an LTI system. This is referred to as the convolution sum.

A)  Linear
B)  Time varying
C)  Time invariant
D)  Linear and time invariant

Correct Answer :   Linear and time invariant


Explanation : Impulse response is the output of LTI system due to impulse input applied at time = 0 or n=0. Behaviour of an LTI system is characterised by the impulse response.

A)  x[n]δ[n] = x[0]
B)  x[n]δ[n] = x[n]
C)  x[n]δ[n] = δ[n]
D)  x[n]δ[n] = x[0]δ[n]

Correct Answer :   x[n]δ[n] = x[0]δ[n]


Explanation : When the input x[n] is multiplied with an impulse signal, the result will be impulse signal with magnitude of x[n] at that time.

A)  Convolution
B)  Convolution sum
C)  Convolution integral
D)  Convolution multiple

Correct Answer :   Convolution sum


Explanation : Weighted superposition of time-shifted impulse responses is called convolution sum for discrete-time signals and convolution integral for continuous-time signals.

A)  {2, 5, 12, 11, 12}
B)  {2, 12, 5, 11, 12}
C)  {2, 11, 5, 12, 12}
D)  {-2, 5,-12, 11, 12}

Correct Answer :   {2, 5, 12, 11, 12}


Explanation : x1[n] = δ(n)+2δ(n-1)+3δ(n-2) and x2[n] = 2δ(n)+δ(n-1)+4δ(n-2)
Y[n] = x1[n]*x2[n] by performing convolution operation on x1[n] and x2[n] we get the sequence as {2, 5, 12, 11, 12}.

A)  y(t) = x(t) * (h1(t) h2(t))
B)  y(t) = x(t) + (h1(t) + h2(t))
C)  y(t) = x(t) *(h1(t) + h2(t))
D)  y(t) = (x(t) * h1(t)) + h2(t)

Correct Answer :   y(t) = x(t) *(h1(t) + h2(t))


Explanation : The equivalent impulse response of two systems connected in parallel is the sum of individual impulse responses. It is represented as
y(t) = x(t) * h1(t) + x(t) * h2(t) = x(t) * (h1(t) + h2(t)).

A)  h(t) = ha(t) hb(t)
B)  h(t) = ha(t) * hb(t)
C)  h(t) = ha(t) – hb(t)
D)  h(t) = ha(t) + hb(t)

Correct Answer :   h(t) = ha(t) * hb(t)


Explanation : The equivalent impulse response of two systems connected in series (cascaded) is given by convolution of individual impulse responses.

A)  Closure law
B)  Distributive property
C)  Commutative property
D)  Associative property

Correct Answer :   Commutative property


Explanation : Impulse response exhibits commutative property and it is given mathematically by the equation : h1(t) * h2(t) = h2(t) * h1(t).

A)  h[k] = cδ[k]
B)  h[k] = cδ[n-k]
C)  h[k] = ch[k]δ[k]
D)  h[k] = ch[n-k]δ[k]

Correct Answer :   h[k] = cδ[k]


Explanation : The LTI discrete-time system is said to be memory-less if and only if it satisfies the condition h[k]=cδ[k]. All memory-less LTI systems perform scalar multiplication on the input.

A)  Causal
B)  Non-causal
C)  Insufficient information
D)  The system cannot be classified

Correct Answer :   Non-causal


Explanation : The given impulse response h [n] = u [n+3] is not causal because of the term u [n+3] which implies it is non zero for n= -1, -2, -3.

A)  1, 2, 3
B)  2, 3, 4
C)  5/3, 0, 2/3
D)  4/3, 1/3, 5/3

Correct Answer :   5/3, 0, 2/3


Explanation :

A)  Infinitely many solutions exist
B)  The equations are incompatible
C)  Finite number of multiple solutions exist
D)  The solution is unique

Correct Answer :   The solution is unique


Explanation :

A)  The signals which change with time
B)  The signal that repeats itself in time
C)  The signals which change with frequency
D)  The signals that repeat itself over a fixed frequency

Correct Answer :   The signal that repeats itself in time


Explanation : Those signals which repeat themselves in a fixed interval of time are called periodic signals. The continuous-time signal x(t) is periodic if and only if
x(t+T)= x(t).

A)  The signals which start at t=-∞ and end at t=+∞
B)  The signals which have a short period of occurrence
C)  The signals which have a finite interval of occurrence
D)  The signals which start at t= -∞ and ends at a finite time period

Correct Answer :   The signals which start at t=-∞ and end at t=+∞


Explanation : The periodic signals have actually a time period between t=-∞ and at t= + ∞. These signals have an infinite time period, that is periodic signals are actually continued forever. But this is not possible in case of real time signals.

A)  The first interval of a periodic signal
B)  Every interval of a periodic signal
C)  Every interval of an aperiodic signal
D)  The last interval of a periodic signal

Correct Answer :   The first interval of a periodic signal


Explanation : The first time interval of a periodic signal after which it repeats itself is called a fundamental period. It should be noted that the fundamental period is the first positive value of frequency for which the signal repeats itself.

A)  t1/t2= t2/t3
B)  t1/t2 is rational
C)  t1/t2/t3= rational
D)  All the ratios of the three periods in any order is rational

Correct Answer :   All the ratios of the three periods in any order is rational


Explanation : if x(t) , y(t) and z(t) are to be periodic then,
t1/t2 should be rational and simultaneously
t1/t3 should be rational and
t2/t3 should be rational. Hence, all the ratios of the three periods in any order is rational.

A)  Ratio of period of the first signal to period of other signals should be real
B)  Ratio of period of the first signal to period of other signals should be finite
C)  Ratio of period of first signal to period of other signal should be rational
D)  Ratio of period of the first signal to period of other signals should be constant

Correct Answer :   Ratio of period of first signal to period of other signal should be rational


Explanation : The necessary and sufficient condition for a sum of a periodic continuous time signal to be periodic is that the ratio of a period of the first signal to the period of other signals should be rational.

I.e T/Ti = a rational number.

156 .
What is the period of the signal :jejw11t?
A)  2π/10
A)  
B)  2π/11
B)  
C)  4π/10
C)  
D)  4π/11
D)  

Correct Answer :   2π/11


Explaination : From the definition of periodic signal, we express a periodic exponential signal as :
ejw11t= ejwt+jwT
Hence, 11wt=2 π,
which gives the fundamental period as
2π/11.

157 .
What is the fundamental period of the signal : ejwt?
A)  2π/w
A)  
B)  2π/w2
B)  
C)  2π/w3
C)  
D)  4π/w
D)  

Correct Answer :   2π/w


Explaination : The complex exponential signal can be represented as
ejwt= ejwt+jwT
Hence, wt=2 π,
T= 2π/w.

A)  T*T
B)  T*n
C)  T*N+M
D)  T *(n+m)

Correct Answer :   T*n


Explanation : If a signal is periodic then we have to convert each of the periods to the ratio of integers. We have to take the ratio of greatest common divisor(gcd) from the numerator to the gcd of denominator. The LCM of the denominators of the resulting ratios is the value of n the period of the sum signal is T*n.

A)  It can be positive
B)  It is always positive
C)  It can be negative
D)  It can have of any value from positive to negative

Correct Answer :   It is always positive


Explanation : The period of a periodic signal is always positive. The smallest positive value of a periodic interval is called a fundamental period in case of both discrete and continuous time signal.

A)  It depends on the situation
B)  It is different in different situations
C)  It is the square of the fundamental period
D)  It is same as the area in the previous interval

Correct Answer :   It is same as the area in the previous interval


Explanation : The area of any periodic signal in any interval is the same. Hence it is same as the previous interval. This results from the fact that a periodic signal takes same values at the intervals of T.

A)  It is not periodic
B)  It is periodic
C)  It depends on the signal
D)  It is a mixture of period and aperiodic signal

Correct Answer :   It is not periodic


Explanation : A constant signal is not periodic. It is because it does not repeat itself over in time. It is constant at any time, it is aperiodic.

A)  Samples/ cycle
B)  Fundamental period
C)  Samples/ twice cycle
D)  Rate of change of the period

Correct Answer :   Samples/ cycle


Explanation : The value of N is a positive integer and it represents the period of any discrete time periodic signal measured in terms of number of sample spacing ( samples/cycle). The smallest value of N is a fundamental period.

A)  The representation of periodic signals in a mathematical manner is called a Fourier series
B)  The representation of non periodic signals in a mathematical manner is called a Fourier series
C)  The representation of periodic signals in terms of complex exponentials or sinusoids is called a Fourier series
D)  The representation of non periodic signals in terms of complex exponentials or sinusoids is called a Fourier series

Correct Answer :   The representation of periodic signals in terms of complex exponentials or sinusoids is called a Fourier series


Explanation : The Fourier series is the representation of non periodic signals in terms of complex exponentials, or equivalently in terms of sine and cosine waveform leads to Fourier series. In other words, Fourier series is a mathematical tool that allows representation of any periodic wave as a sum of harmonically related sinusoids.

A)  Jean Fourier
B)  Fourier Joseph
C)  Jean Baptiste de Fourier
D)  Jean Baptiste Joseph Fourier

Correct Answer :   Jean Baptiste Joseph Fourier


Explanation : The Fourier series is the representation of non periodic signals in terms of complex exponentials or sine or cosine waveform. This was discovered by Jean Baptiste Joseph Fourier in 18th century.

A)  Fourier conditions
B)  Dirichlet’s conditions
C)  Gibbs phenomenon
D)  Fourier phenomenon

Correct Answer :   Dirichlet’s conditions


Explanation : When the Dirichlet’s conditions are satisfied, then only for a signal, the fourier series exist. Fourier series is of two types- trigonometric series and exponential series.

166 .
What is the equation – Xn=1/T∫x(t) ejwtn called?
A)  Analysis equation
A)  
B)  Synthesis equation
B)  
C)  Discrete equation
C)  
D)  Frequency domain equation
D)  

Correct Answer :   Analysis equation


Explaination : The equation – Xn=1/T∫x(t)e-jwtn called the analysis equation of an exponential Fourier series. It is because it is used to synthesize the Fourier series.

167 .
What is the equation – X(t)=∑Xnejnwt called?
A)  Analysis equation
A)  
B)  Discrete equation
B)  
C)  Synthesis equation
C)  
D)  Frequency domain equation
D)  

Correct Answer :   Synthesis equation


Explaination : The equation – X(t) = ∑Xnejnwt called the synthesis equation of an exponential Fourier series. It is because it is used to synthesize the Fourier series.

A)  Trigonometric only
B)  Exponential and logarithmic
C)  Trigonometric and logarithmic
D)  Trigonometric and exponential

Correct Answer :   Trigonometric and exponential


Explanation : The two types of Fourier series are- Trigonometric and exponential. The exponential is more convenient for Fourier series calculations.

A)  It is a periodic signal
B)  It has a finite average value over the period T
C)  It has a finite number of positive and negative maxima in the period T
D)  If it is continuous then there are a finite number of discontinuities in the period T1

Correct Answer :   It is a periodic signal


Explanation : Even if the Fourier series demands periodicity as the major necessity for its formation still it is not a part of Dirichlet’s condition. It is the basic necessity for Fourier series.

A)  The terms that are present in a fourier series
B)  The terms that are obtained through fourier series
C)  The terms which consist of the fourier series along with their sine or cosine values
D)  The terms which are of resemblance to fourier transform in a fourier series are called fourier series coefficients

Correct Answer :   The terms which consist of the fourier series along with their sine or cosine values


Explanation : The terms which consist of the fourier series along with their sine or cosine values are called fourier coefficients. Fourier coefficients are present in both exponential and trigonometric fourier series.

A)  Plot showing magnitudes of waveforms are called line spectrum
B)  Plot showing each of harmonic amplitudes called line spectrum
C)  Plot showing each of harmonic amplitudes in the wave is called line spectrum
D)  Plot showing each of harmonic amplitudes in the wave is called line spectrum

Correct Answer :   Plot showing each of harmonic amplitudes in the wave is called line spectrum


Explanation : The plot showing each of harmonic amplitudes in the wave is called line spectrum. The line rapidly decreases for waves with rapidly convergent series.

A)  Periodically related
B)  Harmonically related
C)  Sinusoidally related
D)  Exponentially related

Correct Answer :   Harmonically related


Explanation : Fourier series makes it easier to represent periodic signals as it is a mathematical tool that allows the representation of any periodic signals as the sum of harmonically related sinusoids.

A)  Time domain representation
B)  Frequency domain representation
C)  Both combined
D)  Neither depends on the situation

Correct Answer :   Frequency domain representation


Explanation : Fourier series uses frequency domain representation of signals. X(t)=1/T∑Xnejnwt. Here, the X(t) is the signal and Xn = 1/T∫x(t)e-jwtn.

A)  Linearity, time shifting
B)  Linearity, time shifting, frequency shifting
C)  Linearity, time shifting, frequency shifting, time reversal, time scaling, periodic convolution
D)  Linearity, time shifting, frequency shifting, time reversal, time scaling, periodic convolution, multiplication, differentiation

Correct Answer :   Linearity, time shifting, frequency shifting, time reversal, time scaling, periodic convolution, multiplication, differentiation


Explanation : Linearity, time shifting, frequency shifting, time reversal, time scaling, periodic convolution, multiplication, differentiation are some of the properties followed by continuous time fourier series. Integration and conjugation are also followed by continuous time fourier series.

A)  Remains the same
B)  Takes the shifted value
C)  Different in different situation
D)  Changes according to the situation

Correct Answer :   Remains the same


Explanation : The period of the periodic signal does not change even if it is time shifted.
If x(t) and y(t) are two periodic signals with coefficients Xn and Yn, then if a signal is shifted to t0, then the property says,
Xn = x(t-t0), Yn = Xne-njwt0.

A)  Time changes
B)  Length changes
C)  Because the frequency changes
D)  Both frequency and time changes

Correct Answer :   Because the frequency changes

A)  Multiplication in the time domain by a sinusoid
B)  Addition in the time domain by a complex sinusoid
C)  Multiplication in the time domain by a real sinusoid
D)  Multiplication in the time domain by a complex sinusoid

Correct Answer :   Multiplication in the time domain by a complex sinusoid


Explanation : If x(t) and y(t) are two periodic signals with coefficients Xn and Yn,
Then y(t)= ejmwtx(t)↔Yn=Xn-m.
Hence, we can see that a frequency shift corresponds to multiplication in the time domain by complex sinusoid whose frequency is equal to the time shift.

A)  Time reversal of the last term of fourier series
B)  Time reversal of the corresponding sequence of fourier series
C)  Time reversal of the corresponding sequence
D)  Time reversal of the corresponding term of fourier series

Correct Answer :   Time reversal of the corresponding sequence of fourier series


Explanation : x(t)↔ Xn
Y(t) = x(-t)↔Yn=X-n.
That is the time reversal property of fourier series coefficients is time reversal of the corresponding sequence of fourier series.

A)  y(n) = x(-n)
B)  y(n) = x(n) – x(n-1)
C)  y(n) = n x(n)
D)  y(n) = x(n) cos 2nf

Correct Answer :   y(n) = x(n) – x(n-1)


Explanation : We know that, for any system y (n) = k x (n), to be a time invariant system, it must satisfy the relation, y (n-n1) = k x (n-n1) [where k is a constant or a function of n].
For y (n) = n x (n), y (n-n1) = (n-n1) x (n-n1)
This does not satisfy the criteria as stated above. Hence not time invariant.
For y (n) = x (-n), y (n-n1) = x (-n+n1)
This also does not satisfy the criteria as stated above. Hence not time invariant.
For y (n) = x (n) cos 2nf, y (n-n1) = x (n-n1) cos 2(n-n1) f
This also does not satisfy the criteria as stated above. Hence not time invariant.
For y (n) = x (n) – x (n-1), y (n-n1) = x (n-n1) – x (n-n1-1)
This satisfies the above criteria. Hence given system is time invariant.

A)  y(n) = 3x(n) – 2x(n-1)
B)  y(n) = 3x(n) + 2x(n+1)
C)  y(n) = 3x(n+1) + 2x(n-1)
D)  y(n) = 3x(n+1) + 2x(n-1) + x(n)

Correct Answer :   y(n) = 3x(n) – 2x(n-1)


Explanation : We know that, for a causal system, output must depend on present and past but not on future.
For y (n) = 3x (n) + 2x (n+1), we can observe that output depends on future because of the term x (n+1). Hence, not a causal system.
For y (n) = 3x (n+1) + 2x (n-1), we can observe that output depends on future because of the term x (n+1). Hence not a causal system.
For y (n) = 3x (n+1) + 2x (n-1) + x (n), we can observe that output depends on future because of the term x (n+1). Hence not a causal system.
For y (n) = 3x (n) – 2x (n-1), we can observe that output depends on present and past but not on the future. Hence, it is a causal system.

A)  y(n) = x(n)
B)  y(n) = y(n-1)
C)  y(n) = y(n-1) + y(n+1)
D)  y(n) + y(n+1) + y(n+3) = 0

Correct Answer :   y(n) = y(n-1) + y(n+1)


Explanation : We know that for a dynamic system, the present output of the system should depend only on the past output and the future output.
For y (n) = y (n-1), we can observe that output depends only on the past but not on the future. Hence it is not a dynamic system.
For y (n) = x (n), we can observe that output depends on the present. Hence it is not a dynamic system.
For y (n) + y (n+1) + y (n+3) = 0, we can observe that output is a constant. Hence it is not a dynamic system.
For y (n) = y (n-1) + y (n+1), we can observe that output depends only on past and future outputs. Hence it is a dynamic system.

A)  The Future Inputs
B)  The Present Inputs
C)  The Past and Future Inputs
D)  The Past and Present Inputs

Correct Answer :   The Past and Present Inputs


Explanation : A system is causal if and only if the current output is only a function of present and past inputs. The current output does not depend on the future inputs y (k) = f(u(k)); u(k-1); u(k-2);).

A)  Bandwidth
B)  Period
C)  Amplitude
D)  Frequency

Correct Answer :   Bandwidth


Explanation : Bandwidth is the name for that frequency range that a signal requires for transmission and is also a name for the frequency capacity of a particular transmission medium.

A)  The Future Input
B)  The past Input
C)  The Present Input
D)  Both the Present and future Inputs

Correct Answer :   The past Input


Explanation : A dynamic system is a system whose present output depends only on past inputs. Mathematically we can say that for a dynamic system y (t), the condition y (t) = y (t-1) should be always satisfied.

A)  A bounded signal is always finite
B)  A finite signal is always bounded
C)  A bounded signal always possess finite energy
D)  A bounded signal is always zero outside a given interval

Correct Answer :   A bounded signal always possess finite energy


Explanation : A bounded signal always possesses finite energy as a matter of fact. Mathematically on integrating it can be also shown that the energy of the bounded signal is finite while power is zero.

A)  Noise
B)  Distortion
C)  Attenuation
D)  Attenuation, Distortion & Noise

Correct Answer :   Attenuation, Distortion & Noise


Explanation : We know that distortion is the alteration of the original shape, attenuation is the reduction of signal strength and noise is the unwanted output of a signal or system. So, attenuation, distortion and noise all can impair a signal.

187 .
From the given conditions, what are the Dirichlet conditions?
i. X(t) should be absolutely integrable
ii. X(t) should have finite discontinuities
iii. X(t) should have a finite number of maxima as well as minima in its domain
A)  i and ii
A)  
B)  i and iii
B)  
C)  ii and iii
C)  
D)  i, ii and iii
D)  

Correct Answer :   i, ii and iii


Explaination : For both periodic and non-periodic signals to have their Laplace transforms, they must satisfy the Dirichlet conditions. Dirichlet conditions state that a system should be absolutely integrable, have finite discontinuities, and have a finite number of maxima and minima in its domain.

A)  Unit step response
B)  Time shifted impulses
C)  Unit impulse response
D)  Response to any signal(bounded)

Correct Answer :   Unit impulse response


Explanation :

A)  A dynamic system
B)  Static system
C)  A causal system
D)  A memory less system

Correct Answer :   A dynamic system


Explanation : Dynamic systems are those systems which consist of memory. In the series RC circuit excited by voltage V, the capacitor C is an energy storing element which acts as a memory for the circuit. Therefore since the system has memory it is not a memoryless system.

Also, a causal system depends only on the past and present value. But since the future value of the charge is also under consideration in this type of circuit, so the system is not causal.

Since charge moves about in the circuit due to the applied voltage V, hence the system is not a static system. Therefore the system is a dynamic system.

A)  Only when the signal is discrete
B)  Only when there is a jump discontinuity in the signal
C)  Only when there is a discontinuity in the signal
D)  Gibbs phenomenon is not possible in continuous signals

Correct Answer :   Only when there is a jump discontinuity in the signal


Explanation : The gibbs phenomenon present in a signal x (t), only when there is a jump discontinuity in the signal.

A)  Gibbs phenomenon occurs near points of discontinuity
B)  Gibbs phenomenon occurs only near points of discontinuity
C)  Gibbs phenomenon occurs only ahead of points of discontinuity
D)  Gibbs phenomenon does not occur near points of discontinuity

Correct Answer :   Gibbs phenomenon occurs only near points of discontinuity


Explanation : The gibbs phenomenon present in a signal x(t), only when there is a jump discontinuity in the signal. Gibbs phenomenon occurs only near points of discontinuity that is approximated by a fourier series in which only a finite number of terms are kept constant.

A)  Finite
B)  Zero
C)  Infinite
D)  More than 10

Correct Answer :   Finite


Explanation : The overshoot near discontinuity does not vanish as more and modes are retained. Instead, the overshoot is finite no matter what finite numbers of modes N are retained. Even though the region of overshoot gets progressively smaller as N ↔∞.

A)  In any finite interval, x (t) is of unbounded variation
B)  Fourier coefficients converge near a discontinued point
C)  In majority finite interval, x(t) is of unbounded variation
D)  Fourier series approximation oscillates about the numerical value

Correct Answer :   Fourier series approximation oscillates about the numerical value


Explanation : According to fourier convergence theorem, near a point of discontinuity the fourier series approximation oscillates about the numerical value it should achieve. This is valid in an infinite series limit.

A)  Break point limits
B)  Discrete function limit
C)  Infinite series limit
D)  Continuous function limit

Correct Answer :   Infinite series limit


Explanation : According to fourier convergence theorem, near a point of discontinuity the fourier series approximation oscillates about the numerical value it should achieve, which is valid in an infinite series limit.

195 .
The Fourier series coefficient of time domain signal x (t) is X[k] = jδ[k-1] – jδ[k+1] + δ[k+3] + δ[k-3], the fundamental frequency of the signal is ω=2π. The signal is ___________
A)  2(cos 3πt – sin πt)
A)  
B)  -2(cos 3πt – sin πt)
B)  
C)  2(cos 6πt – sin 2πt)
C)  
D)  -2(cos 6πt – sin 2πt)
D)  

Correct Answer :   2(cos 6πt – sin 2πt)


Explaination :

196 .
A waveform is given by v(t) = 10 sin2π 100 t. The magnitude of the second harmonic in its Fourier series representation is _________
A)  0 V
A)  
B)  20 V
B)  
C)  100 V
C)  
D)  200 V
D)  

Correct Answer :   0 V


Explaination :

A)  Scaling
B)  Time scaling
C)  Duality
D)  Frequency shifting

Correct Answer :   Time scaling


Explanation : From the time scaling property, we can infer that, time scaling is the property which states that compression in the time domain is equivalent to the expansion in the frequency domain.

198 .
For any given signal, average power in its 6 harmonic components as 10 mW each and fundamental component also has 10 mV power. Then, average power in the periodic signal is ___________
A)  5
A)  
B)  10
B)  
C)  60
C)  
D)  70
D)  

Correct Answer :   60


Explaination : We know that according to Parseval’s relation, average power is equal to the sum of the average powers in all of its harmonic components.

∴ Pavg = 10 × 6 = 60.

199 .
A band-limited signal with a maximum frequency of 5 kHz is to be sampled. According to the sampling theorem, the sampling frequency which is not valid is ___________
A)  5 kHz
A)  
B)  12 kHz
B)  
C)  15 kHz
C)  
D)  20 kHz
D)  

Correct Answer :   5 kHz


Explaination : (fs) min = 2 fm
Also, (fs) min = 2 X 5 = 10 kHz
So, fs ≥ 10 kHz.

200 .
A band pass signal extends from 4-6 kHz. The smallest sampling frequency required to attain all the information in the signal is _____________
A)  4 kHz
A)  
B)  6 kHz
B)  
C)  8 kHz
C)  
D)  10 kHz
D)  

Correct Answer :   4 kHz


Explaination :

A)  No harmful effects in reproduction
B)  Greater aliasing errors in reproduction
C)  Attenuation of low frequencies in reproduction
D)  Attenuation of high frequencies in reproduction

Correct Answer :   Attenuation of high frequencies in reproduction


Explanation : As pulse width T is increased, the width 1/T of the first lobe of the spectrum is decreased.
Hence, increased pulse-width in the flat-top sampling, leads to attenuation of high frequencies in reproduction.

202 .
Let x(t) be a continuous time, real valued signal band limited to F Hz. The Nyquist sampling rate in Hz, for y(t) = x(0.5t) + x(t) – x(2t) is ________
A)  F
A)  
B)  2F
B)  
C)  4F
C)  
D)  8F
D)  

Correct Answer :   4F


Explaination : Expansion in time domain is compression in frequency domain and vice versa. So, the maximum frequency component in given signal is 2F Hz. And according to sampling theorem,
Nyquist rate = 2 fm
= 2 X 2 F
= 4F Hz.

203 .
A current I given by I = – 8 + 62–√2 (sin (ωt + 30°)) A is passed through three meters. The respective readings (in ampere) will be?
A)  -8, 2 and 2
A)  
B)  8, 6 and 8
B)  
C)  8, 6 and 10
C)  
D)  – 8, 10 and 10
D)  

Correct Answer :   – 8, 10 and 10


Explaination :

A)  autocorrelation and energy
B)  autocorrelation and power spectral density
C)  autocorrelation and convoloution
D)  convolution and power spectral density

Correct Answer :   autocorrelation and power spectral density


Explanation :

This is property of autocorrelation.

F[R1, 1 (t)] = s(f) where s(f) is Power spectral density.

205 .
ROC of sequence x[n] = (3)n ∪[n] + (4)n ∪[- n - 1]
A)  |z| > 3
A)  
B)  3 < |z| < 4
B)  
C)  |z| > 4
C)  
D)  |z| < 4
D)  

Correct Answer :   3 < |z| < 4


Explaination :

A)  Bounded I/P and O/P
B)  Bounded O/P and I/P
C)  Bounded I/P Bounded O/P
D)  Bounded I/P unbounded O/P

Correct Answer :   Bounded I/P and O/P

207 .
Let f1(t) = G1(t) + 4, f2(t) = G2(t) + 3. If G1(t) and G2(t) are uncorrected then the correlation between f1(t) and f2(t) are
A)  
B)  6
B)  
C)  9
C)  
D)  12
D)  

Correct Answer :   0

A)  z = 0
B)  Not exist
C)  Entire Plane
D)  Entire Plane expect z = 0, z = ∞

Correct Answer :   Entire Plane

A)  Only by summation of inpulse response by convolution integral
B)  Only by summation of step response by superposition integral
C)  Neither (A) nor (B)
D)  Either (A) or (B)

Correct Answer :   Either (a) or (b)

210 .
Assertion (A) : If an event A can happen in m ways and another event B can happen in n ways, both can happen in mn ways.

Reason (R) : Two events are mutually exclusive if happening of either precludes the occurrence of other.
A)  Both A and R are correct and R is correct explanation of A
A)  
B)  Both A and R are correct but R is not correct explanation of A
B)  
C)  A is true, R is false
C)  
D)  A is false, R is true
D)  

Correct Answer :   Both A and R are correct but R is not correct explanation of A

211 .
For a second order system, damping ratio ζ is such that 0 < ζ <. Then the roots of characteristic equation are
A)  imaginary
A)  
B)  real and equal
B)  
C)  complex conjugate
C)  
D)  real but not equal
D)  

Correct Answer :   complex conjugate

A)  π δ (ω)
B)  2π δ (ω)
C)  δ(ω)/π
D)  δ(ω)/2π

Correct Answer :   2π δ (ω)

A)  contains only sine terms
B)  contains only cosine terms
C)  contains a constant and cosine
D)  contains a constant and sine terms

Correct Answer :   contains only sine terms

214 .
A system has poles at 0.01 Hz, 1 Hz and 80 Hz, zeros at 5 Hz, 100 Hz and 200 Hz. The approximate phase of the system response at 20 Hz is
A)  
 
-90°
A)  
B)  
 
B)  
C)  
 
90°
C)  
D)  
 
180°
D)  

Correct Answer :  

 
-90°

A)  ROC does not contain any pole
B)  ROC of finite duration sequence is entire plane expect z = 0, z = ∞
C)  Both (A) and (B)
D)  None of the above

Correct Answer :   Both (A) and (B)

216 .
Which one of following is correct condition to check the stability of sysytem in terms of impulse response?
A)  Σx(n) < 0
A)  
B)  Σx(n) = 0
B)  
C)  Σx(n) = ∞
C)  
D)  Σ(x(n)) < ∞
D)  

Correct Answer :   Σ(x(n)) < ∞

A)  all capacitors
B)  all voltage sources
C)  all inductors and current sources
D)  all voltage sources and maximum number of capacitors

Correct Answer :   all voltage sources and maximum number of capacitors

A)  should be in tree
B)  should be in cotree
C)  may be in tree or cotree
D)  should be in both tree and cotree

Correct Answer :   should be in cotree

219 .
The power in the signal s(t) = 8 cos (20 π - π/2) + 4 sin (15 πt) is
A)  40
A)  
B)  41
B)  
C)  42
C)  
D)  82
D)  

Correct Answer :   40

A)  a step function originating at t = b
B)  a unit doublet originating at = t - b
C)  an impulse function originating at t = b
D)  None of the above

Correct Answer :   a unit doublet originating at = t - b

221 .
If f(t) is an even function, the coefficients Fn in the exponential form of Fourier series
A)  are real
A)  
B)  are complex
B)  
C)  are imaginary
C)  
D)  may be real or imaginary
D)  

Correct Answer :   are real

A)  zero
B)  finite
C)  infninite
D)  depend upon frequency of signal

Correct Answer :   depend upon frequency of signal

A)  a graph of |Fn| versus frequency is plotted
B)  a graph of the angle of Fn versus frequency is plotted
C)  a graph of complex number Fn versus frequency is plotted
D)  two graphs viz |Fn| versus frequency and the phase angle of Fn versus frequency are plotted

Correct Answer :   two graphs viz |Fn| versus frequency and the phase angle of Fn versus frequency are plotted

224 .
Assertion (A) : Transient periods are of short duration but can result in dangerously high voltages and currents.

Reason (R) : Circuit equations in transient analysis are integral differential equations.
A)  A is false, R is true
A)  
B)  A is true, R is false
B)  
C)  Both A and R are correct but R is not correct explanation of A
C)  
D)  Both A and R are correct and R is correct explanation of A
D)  

Correct Answer :   Both A and R are correct but R is not correct explanation of A

A)  10
B)  50
C)  200
D)  Zero

Correct Answer :   10

A)  voltages across capacitors
B)  currents through resistances and capacitances
C)  currents through inductances and voltages across capacitances
D)  currents through resistances and voltages across capacitors

Correct Answer :   currents through inductances and voltages across capacitances

227 .
Consider the following statements

1. If ensemble and time averages of a random process are identical, the process is ergodic.
2. If ensemble and time average of a random process are not identical, the process is ergodic.
3. An ergodic process is stationary.
4. A stationary process is necessarily ergodic.

Which of the above statements are correct?
A)  1 only
A)  
B)  1 and 3 only
B)  
C)  1 and 4 only
C)  
D)  1, 3 and 4 only
D)  

Correct Answer :   1 and 3 only

A)  ergodic process
B)  statistical dependence
C)  statistical independence
D)  All of the above

Correct Answer :   statistical dependence