EEE : RL Circuits MCQs with Answers

A)  conductor
B)  an device composed of resistors and inductors driven by a voltage or current source
C)  an electric circuit composed of resistors and inductors driven by a voltage or current source
D)  None of the above

Correct Answer :   an electric circuit composed of resistors and inductors driven by a voltage or current source

A)  inductor
B)  conductor
C)  resistor–inductor circuit or RL filter or RL network
D)  All of the above

Correct Answer :   resistor–inductor circuit or RL filter or RL network

A)  Halves
B)  Doubles
C)  Remains constant
D)  Cannot be determined without values

Correct Answer :   Cannot be determined without values

A)  True
B)  False
C)  Can Not Say
D)  None of the above

Correct Answer :   True

A)  True
B)  False
C)  Can Not Say
D)  None of the above

Correct Answer :   True

6 .
A 1.2 kΩ resistor is in series with a 15 mH coil across a 10 kHz ac source. The magnitude of the total impedance is
A)  152.6 Ω
A)  
B)  942 Ω
B)  
C)  1,200 Ω
C)  
D)  1,526 Ω
D)  

Correct Answer :   1,526 Ω

A)  Increases
B)  Decreases
C)  Does not change
D)  Cannot be determined without values

Correct Answer :   Decreases

8 .
A 12 kΩ resistor is in series with a 90 mH coil across an 8 kHz ac source. Current flow in the circuit, expressed in polar form, is I = 0.3 ∠0° mA. The source voltage, expressed in polar form, is
A)  3.84 ∠20.6° V
A)  
B)  12.8 ∠20.6° V
B)  
C)  0.3 ∠20.6° V
C)  
D)  13.84 ∠69.4° V
D)  

Correct Answer :   3.84 ∠20.6° V

A)  Should be increased
B)  Should be constant
C)  Should be decreased
D)  Cannot be determined without values

Correct Answer :   Should be decreased

A)  True
B)  False
C)  Can Not Say
D)  None of the above

Correct Answer :   False

A)  True
B)  False
C)  Can Not Say
D)  None of the above

Correct Answer :   False

12 .
What is the relationship between current flowing in the circuit I, current through resistor IR and inductor IL in RL circuit?
A)  I= IL= IR
A)  
B)  IL+ IL=I
B)  
C)  IL- IR=I
C)  
D)  None of the above
D)  

Correct Answer :   I= IL= IR

A)  Difference of voltage drop
B)  Voltage drop across resistor
C)  Sum of voltage drop across resistor and inductor
D)  All of the above

Correct Answer :   Sum of voltage drop across resistor and inductor

A)  True
B)  False
C)  Can Not Say
D)  None of the above

Correct Answer :   True

15 .
A 1.5 kΩ resistor and a coil with a 2.2 kΩ inductive reactance are in series across an 18 V ac source. The power factor is
A)  0.564
A)  
B)  6.76
B)  
C)  55.7
C)  
D)  564
D)  

Correct Answer :   0.564

A)  True
B)  False
C)  Can Not Say
D)  None of the above

Correct Answer :   True

17 .
A 47 Ω resistor is in series with an inductive reactance of 120 Ω across an ac source. The impedance, expressed in polar form, is
A)  47 ∠68.6° Ω
A)  
B)  120 ∠68.6° Ω
B)  
C)  129 ∠31.4° Ω
C)  
D)  129 ∠68.6° Ω
D)  

Correct Answer :   129 ∠68.6° Ω

A)  0 VA
B)  6 VA
C)  12 VA
D)  24 VA

Correct Answer :   12 VA

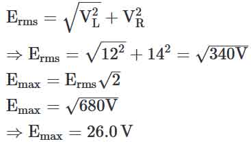
19 .
In a series RL circuit, 12 V rms is measured across the resistor and 14 V rms is measured across the inductor. The peak value of the source voltage is
A)  2 V
A)  
B)  26.0 V
B)  
C)  18.4 V
C)  
D)  20 V
D)  

Correct Answer :   26.0 V


Explaination :

A)  Increases
B)  Decreases
C)  Does not change
D)  Cannot be determined without values

Correct Answer :   Increases

A)  True
B)  False
C)  Can Not Say
D)  None of the above

Correct Answer :   False

A)  1
B)  0.8
C)  0.4
D)  0.2

Correct Answer :   0.2

23 .
What is the relationship between the impedance of series Z, resistance (R) and inductive reactance (XL) of the RL circuit?
A)  Z = (R2 + XL2)0.5
A)  
B)  Z = (R2 + XL2)5
B)  
C)  Z = (R3 + XL2)0.5
C)  
D)  Z = (R2 + XL3)1\2
D)  

Correct Answer :   Z = (R2 + XL2)0.5

A)  Increases
B)  Decreases
C)  Is not affected
D)  Cannot be determined

Correct Answer :   Increases

A)  True
B)  False
C)  Can Not Say
D)  None of the above

Correct Answer :   True

26 .
A 140 Ω resistor is in parallel with an inductor having 60 Ω inductive reactance. Both components are across a 12 V ac source. The magnitude of the total impedance is
A)  5.51 Ω
A)  
B)  55.15 Ω
B)  
C)  90 Ω
C)  
D)  200 Ω
D)  

Correct Answer :   55.15 Ω

27 .
A 3.3 kΩ resistor and a 120 mH coil are in parallel. Both components are across a 2 kHz, 12 V ac source. The total current in the circuit is
A)  8.74 mA
A)  
B)  8.74 µA
B)  
C)  874 mA
C)  
D)  874 µA
D)  

Correct Answer :   8.74 mA

28 .
A 470 Ω resistor and a coil with 125 Ω inductive reactance are in parallel. Both components are across a 15 V ac voltage source. Current through the inductor is
A)  12 mA
A)  
B)  32 mA
B)  
C)  120 mA
C)  
D)  152 mA
D)  

Correct Answer :   120 mA

A)  True
B)  False
C)  Can Not Say
D)  None of the above

Correct Answer :   False

30 .
A 470 Ω resistor and a 200 mH coil are in parallel. Both components are across a 1.5 kHz ac source. The total admittance of the circuit, in polar form, is
A)  218 ∠-76° mS
A)  
B)  12.60 ∠-76° mS
B)  
C)  12.18 ∠76° mS
C)  
D)  12.18 ∠-76° mS
D)  

Correct Answer :   12.18 ∠-76° mS

A)  4.24 A
B)  6 A
C)  42.4 A
D)  424 mA

Correct Answer :   4.24 A

A)  True
B)  False
C)  Can Not Say
D)  None of the above

Correct Answer :   False

33 .
How many watt power(P) dissipated by the resistor(R) in the form of heat?
A)  P = I2R (watts)
A)  
B)  P = IR2 (watts)
B)  
C)  P = I0.2R (watts)
C)  
D)  None of the above
D)  

Correct Answer :   P = I2R (watts)

A)  Volt-Watt-Reactive (VAR)
B)  Volt-Amps-Resistance (VAR)
C)  Volt-Amps-Reactive (VAR)
D)  None of the above

Correct Answer :   Volt-Amps-Reactive (VAR)

35 .
What is the instantaneous power deliver (P) by voltage source (V)?
A)  P = VI
A)  
B)  P = VI 2
B)  
C)  P = V/I
C)  
D)  None of the above
D)  

Correct Answer :   P = VI 2