Which of these is the governing parameters for change across shock wave when it is moving?

A)
Density
B)
Velocity ratio
C)
Pressure ratio
D)
Mach number

Correct Answer :   Pressure ratio


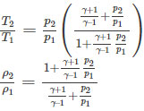
Explanation : In a stationary wave, changes across the shock wave is governed by the Mach number. But, in a moving shock wave it is dependent majorly on the pressure ratio as seen in the formula below which shows the equation for density and pressure ratio across a moving shock wave.