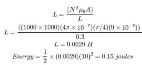
The energy stored in the magnetic field in a solenoid 30 cm long and 3 cm diameter wound with 1000 turns of wire carrying a current at 10 amp, is

A)
1.15 joule
B)
0.15 joule
C)
0.015 joule
D)
0.015 joule

Correct Answer : Option (B) :   0.15 joule


Explanation :